📌 조사방법론
1. 연역적·귀납적 방법
- 과학적 연구 과정: 이론(전제) → 가설 → 관찰 → 경험적 일반화 (이가관경)
- 연역적: 이론(전제) → 가설 → 자료 수집 → 검증 → 결론. (위에서 아래)
- 귀납적: 관찰·자료 → 패턴·규칙 → 이론 형성. (아래에서 위)
2. 기술적 연구
- 정의: 현상 기술, 현 상태 파악 목적.
- 유형
- 횡단적 연구: 한 시점에서 여러 집단 비교.
- 종단적 연구: 동일 대상 반복 관측.
- 패널 연구: 동일 개인 추적.
- 코호트 연구: 동일 특성(출생연도 등) 가진 집단 추적.
- 추세 연구: 서로 다른 표본으로 시계열 비교.
- 현장 연구: 자연 상태에서 관찰·조사.
3. 선행변수·매개변수·억제변수·왜곡변수
- 선행변수: 독립변수보다 앞서 존재, 독립·종속변수 모두에 영향.
- 매개변수: 독립변수의 영향이 종속변수로 전달되는 경로 중간에 위치.
- 억제변수: 두 변수 관계를 약화·소멸시킴.
- 왜곡변수: 관계 방향을 반대로 나타나게 함.
4. 타당도 vs 신뢰도
- 타당도: 정확성, 측정도구가 의도한 개념을 제대로 측정. (측정하고자 하는 것을 측정하였는가?)
- 신뢰도: 일관성, 반복 측정 시 동일 결과. (신뢰도 1 = 표준오차 0)
- 측정법: 재검사법, 복수양식법, 반분법(스피어만-브라운), 내적 일치도법
- 신뢰도가 낮으면 타당도도 낮음. 신뢰도가 높아도 타당도가 낮을 수 있음(잘못된 것을 일관되게 측정할 수 있음)
- 💡 비유:
- 신뢰도 = 과녁에 같은 위치로 모이는가
- 타당도 = 과녁의 정중앙에 맞는가
- 신뢰도 높고 타당도 낮음 = 계속 옆으로만 잘 맞힘
- 타당도 높으려면 신뢰도가 먼저 높아야 함.
타당도의 종류
- 측정 타당도: 설문지·검사도구가 개념을 얼마나 잘 측정했나? → 내용·구성·기준타당도 등
- 내용타당성: 개념 전체 영역을 빠짐없이 잘 담았는가? (전문가 판단).
- 구성타당성: 이론 속 개념을 실제로 잘 측정했는가? (수렴·판별).
- 기준타당도: 외부의 신뢰할 만한 기준과 비교했을 때 잘 맞는가?
- 예측타당도: 미래의 결과를 잘 예측하는가?
- 동시타당도: 현존하는 신뢰할 수 있는 도구와 잘 일치하는가?
- 연구 타당도: 연구 결과가 얼마나 믿을 수 있고, 어디까지 적용 가능한가?
- 내적 타당도: 인과관계가 연구 설계 안에서 잘 성립하는가?
- 외적 타당도: 그 결과를 다른 상황·집단에 일반화 가능한가?
타당도 위협 요인 (내적·외적)
- 내적 타당도 위협
- 역사(History): 실험 외 사건이 종속변수에 영향
- 성숙(Maturation): 시간 경과로 피험자 변화
- 검사효과(Testing): 사전검사 경험이 사후검사에 영향
- 도구효과(Instrumentation): 측정도구 변화로 인한 결과 변화
- 통계적 회귀(Regression): 극단값이 평균에 가까워짐
- 표본선정(Selection bias): 집단 간 본래 차이
- 실험대상 탈락(Attrition)
- 외적 타당도 위협
- 표본의 대표성 부족
- 실험 상황이 실제와 달라 일반화 불가
타당도 위협 요인 (내적·외적)
- 검사–재검사 = 동일 도구, 동일 대상, 시간 간격
- 복수양식 = 다른 문항, 동일 개념, 등가형
- 반분법 = 한 번 검사, 문항 반으로 나눔
- Cronbach α = 문항 간 내적 일관성
5. 척도 유형
- 명목척도: 분류, 숫자=이름(성별, 지역).
- 서열척도: 순서만 의미(만족도 순위).
- 등간척도: 간격 의미 있음, 영점 임의(온도, 지능지수).
- 비율척도: 절대 영점 존재(길이, 무게, 소득).
- 분석수준 - 비 > 등 > 서 > 명
6. 자기기입식 조사
- 응답자가 스스로 문항 읽고 작성(우편·온라인·집단조사).
- 면접원이 질문·기록하는 전화·대면 면접은 해당 안 됨.
7. 확률표집 & 비확률표집
- 확률표집: 표본 추출 확률이 알려짐.
- 단순임의표집: 모든 요소 동일 확률.
- 층화표집: 층 내 동질, 층 간 이질(비례/최적/네이만 배분법) → 각 층에서 표본.
- 집락표집: 집락 내 이질, 집락 간 동질 → 일부 집락 전수조사.
- 비확률표집: 오차범위 계산 불가.
- 할당표집: 모집단 속성 비율에 맞게 할당.
- 판단표집: 연구자가 사전 지식 등으로 판단하여 선정.
8. 척도 개발 시 유의사항
- 신뢰도·타당도 검증 필수
- 문항 수는 신뢰도를 높이기 위해 적절히 확보
- 응답부담 최소화
- 부정·긍정 문항 혼합(응답 경향성 완화)
- Likert 척도: 동의~비동의, 5점/7점 척도
- Thurston 척도: 여러 가지 진술에 대해 판단을 내리게 한 후 각 진술에 점수 부여
- Semantic Differential: 양극단 형용사 사이에서 평가
- Guttman 척도: 동의 항목이 상위 항목 포함 → 단일차원성 검증
- 재생계수: 응답자의 응답이 얼마나 이상적인 패턴이 가까운가 - Bogardus 사회적 거리 척도: 집단 간 친밀정도를 측정하고, 개인과 집단 간 관계 규명 가능
- Sociometry 척도: 개인을 중심으로 한 개인 간 친밀정도 측정
- 평정 척도: 응답자가 특정 대상에 대해 숫자나 기호 등으로 범위 내에서 평가 (비비교척도)
- 척도는 지수보다 더 많은 정보를 제공함.
9. 표본추출방법
- 모집단 결정 → 표집틀 작성 → 표본추출방법 결정 → 표본크기 결정 → 표본추출 → 자료수집 (모-틀-방-크-추-수)
- 표집틀: 핵심은 포괄성, 추출확률, 효율성
- 표집오차: 표본통계량과 모집단 모수의 차이
- 비표집오차: 표본추출 외 모든 과정(자료 수집, 측정, 처리, 분석 등)에서 발생하는 오차
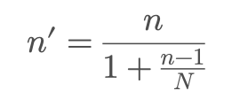
10. 표본추출 계산 기본
- 표본크기(n) 산출 공식(비율 추정):
- Z: 신뢰수준에 따른 값 (95%→1.96)
- p: 모집단 비율 추정치, q=1-p
- d: 허용 오차

- 유한 모집단 보정:

11. 개념적 정의와 조작적 정의
- 개념적 정의: 어떤 개념을 보다 명확하고 정확하게 표현하기 위하여 다른 개념을 사용하여 정의.
- 연구 대상 개념의 범위와 뜻을 명확히 하지만, 직접 측정은 불가하다.
- 예: “지능 = 학습하고 문제 해결하는 능력”.
- 조작적 정의: 개념적 정의를 관찰·측정 가능한 지표·절차로 구체화한 것.
- 연구 재현성·타당성을 위해 측정 도구·방법을 명시한다.
- 예: “IQ 검사를 통해 얻은 점수로 지능 측정”.
- 순서: 보통 개념적 정의 → 조작적 정의로 진행된다.
- 차이: 개념적 정의는 의미 설명, 조작적 정의는 측정 방법에 초점.
12. 연구 방법 상세
- 현상학적 연구 – 개인이 경험한 현상의 본질과 의미를 심층적으로 기술·해석하는 질적 연구.
- 근거이론 연구 – 현장에서 수집한 자료를 바탕으로 개념과 이론을 귀납적으로 생성하는 질적 연구.
- 민속지학적 연구 – 특정 집단이나 문화의 생활양식과 의미체계를 현지 관찰과 참여를 통해 탐구하는 질적 연구.
- 내용분석 연구 – 문서·영상·언론 등 자료의 내용을 체계적으로 분류·코딩하여 양적·질적으로 분석하는 연구.
- 사회성 연구(Sociometry) – 집단 내 구성원들의 인간관계와 친밀 정도를 측정하여 관계망 구조를 분석하는 연구.
- 투사 연구(Projective Technique) – 모호한 자극에 대한 피험자의 반응을 분석하여 잠재적 성향·태도·욕구를 파악하는 심리측정 기법.
- 표적집단 연구(Focus Group Interview) – 공통 특성을 가진 소규모 집단을 대상으로 토론·인터뷰를 진행해 심층적 의견과 인식을 수집하는 연구.
- 동류집단설계 – 유사한 특성을 가진 집단을 구성하여 실험군·통제군으로 나누고 사전·사후 측정을 비교하는 유사실험계.
- 비동질 통제집단설계 – 무작위 배정 없이 이미 존재하는 서로 다른 집단을 사용해 사전·사후 측정으로 비교하는 유사실험계.
- 단일집단 반복실험설계 – 한 집단에 여러 번 처치를 달리 적용하고 반복 측정하여 비교하는 유사실험계.
- 통제집단 사후측정설계 – 실험군과 통제군을 무작위 배정하고 처치 후에만 측정하는 순수실험계.
📌 사회통계
1. 귀무가설과 대립가설
- 귀무가설(H₀, Null Hypothesis): “효과나 차이가 없다” 또는 “관계가 없다”라는 기본 가정.
- 대립가설(H₁ 또는 Hₐ, Alternative Hypothesis): 귀무가설이 틀렸을 때 채택되는 가설, 효과나 차이가 있다는 주장.
연구자가 입증하려는 가설.
2. 1종 오류와 2종 오류
- 1종 오류(Type I Error): 실제로 귀무가설이 참인데 기각하는 오류. α (유의수준).
- 2종 오류(Type II Error): 실제로 귀무가설이 거짓인데 기각하지 않는 오류. 확률 = β.
- 1종 오류 확률(α)와 2종 오류 확률(β)은 그대로 더해서 전체 오류 확률이 되지 않음.
→ 서로 다른 상황에서 발생하므로 단순 합산 불가.
3. t-검정 대표 공식


4. F-검정 대표 공식

- 집단간 자유도: k-1
- 집단내 자유도: n-k
- F분포 성질: X~F(a,b) → 1/X ~ F(b,a)
5. 카이제곱 검정 대표 공식

- 정규모집단의 모분산 검정에 사용

- 어떤 동전이 공정한가를 검정하고자 20회를 던져본 결과 15번 앞면이 나왔다. 이 검정에 사용된 카이제곱 통계량?

6. 신뢰구간 계산

7. 최소제곱


8. 분산·표준편차·변동계수




정규분포는 평균을 중심으로 1σ, 2σ, 3σ 구간 내에 포함될 확률이 각각 0.6826, 0.9544, 0.9974
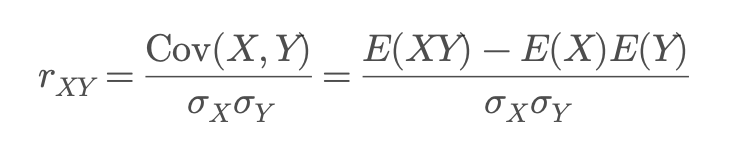
9. 상관계수


10. 왜도·첨도
- 왜도: 분포의 비대칭성 (정규분포 = 0)
- 양수: 오른쪽 꼬리가 더 김. 오른쪽으로 치우침(왼쪽으로 값이 몰림).
- 음수: 왼쪽 꼬리가 더 김. 왼쪽으로 치우침(오른쪽으로 값이 몰림).
- 첨도: 분포의 꼬리 두께와 꼭대기 뾰족함 (정규분포 = 3)
- 양수: 꼬리가 두껍고 중앙이 뾰족(극단값 많음).
- 음수: 꼬리가 얇고 중앙이 완만(극단값 거의 없음).
- 피어슨의 대칭도

11. 제곱합

- 이때 TSS = (n-1)s2
- σ²(오차 분산)의 불편추정값 = SSE/(n-2)
- 총 자유도 = 전체 관측값 수 N-1
- 처리 요인 자유도 = 수준 수 a-1
- 오차 자유도 = 총 자유도 - 처리 자유도
'자격시험' 카테고리의 다른 글
| [경영정보시각화능력] 필기 요약본 정리 (33) | 2024.10.02 |
|---|---|
| [경영정보시각화] 필기시험 준비 자료공유 (24) | 2024.06.15 |
| [경영정보시각화] 시험정보/접수일자/응시비용 (15) | 2024.05.30 |